مدرسه

ریاضی (97/10/15

1- در رابطه ی تقسیم زیر، مقسوم علیه کدام است؟       

     5 > 2                  77 = 2 + (15 × 5)

الف) 5            ب) 77             ج) 2              د) 15

⊗    ⊗    ⊗


الف) 7            ب) 62             ج) 8               د) 6

⊗    ⊗    ⊗

3- در بین عددهای زیر، دور عددهایی که بر 3 بخش پذیرند را خط بکش.

314             5307               504              220               129

⊗    ⊗    ⊗

4- قیمت 3 عدد شکلات 270 تومان است، قیمت 15 عدد شکلات چند تومان است؟

⊗    ⊗    ⊗

5- تقسیم های زیر را حل کنید؛ سپس رابطه های تقسیم را بنویسید.

⊗    ⊗    ⊗

6- در بین عددهای زیر، عددهایی که بر 5 بخش پذیرند، کدام است؟

54               745              5000               407              1350

⊗    ⊗    ⊗

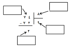
7- در تقسیم زیر، نام هر قسمت را در داخل کادرها بنویس.

نظرات خوانندگان
سلام خانم معلم من حل کردم
سلام اقای نجفی من به سوالات جواب دادم ممنون
سلام من انجام داد م
سلام خانم حسنی من تکلیف ریاضی را حل کردم
سلام. اقای قاسمیان انجام دادم.
سلام، از همه ی بچه های خوب چهارم متشکرم
سلام خانم حسنی من تکلیف سایت راحل کردم.به خاطر آن موضوع
سلام حل کردم خانم حسنی
نظر جدید
نام*
ایمیل
نظر*

متن تصویر*